Thông báo công khai Danh sách các tổ chức, cá nhân tham gia đóng góp tự nguyện và tổng số tiền đóng góp phục vụ tổ chức chợ hoa Xuân Tết Nguyên đán Bính Ngọ 2026 trên địa bàn phường Sơn Tây

15:10 05/02/2026

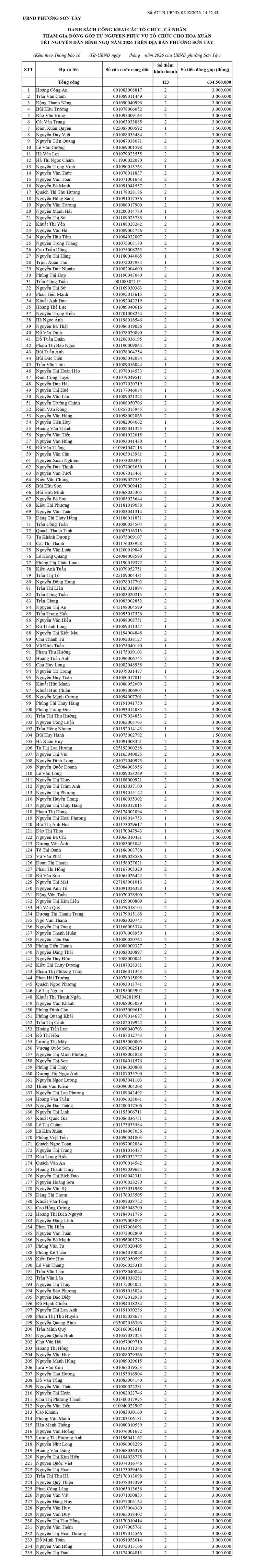
Thông báo số 67/TB-UBND ngày 05/02/2026 của UBND phường Sơn Tây

Thông báo công khai Danh sách các tổ chức, cá nhân tham gia đóng góp tự nguyện và tổng số tiền đóng góp phục vụ tổ chức chợ hoa Xuân Tết Nguyên đán Bính Ngọ 2026 trên địa bàn phường Sơn Tây- Ảnh 1.

Thông báo công khai Danh sách các tổ chức, cá nhân tham gia đóng góp tự nguyện và tổng số tiền đóng góp phục vụ tổ chức chợ hoa Xuân Tết Nguyên đán Bính Ngọ 2026 trên địa bàn phường Sơn Tây- Ảnh 2.

Thông báo công khai Danh sách các tổ chức, cá nhân tham gia đóng góp tự nguyện và tổng số tiền đóng góp phục vụ tổ chức chợ hoa Xuân Tết Nguyên đán Bính Ngọ 2026 trên địa bàn phường Sơn Tây- Ảnh 3.

 

Tin đọc nhiều

HỘI CHỮ THẬP ĐỎ PHƯỜNG SƠN TÂY TRAO XE LĂN CHO NGƯỜI KHUYẾT TẬT CÓ HOÀN CẢNH KHÓ KHĂN

14:25 03/04/2026

Sáng 3/4, Hội Chữ thập đỏ phường Sơn Tây tổ chức trao tặng xe lăn cho chị Trần Thị Kim Oanh - là người khuyết tật có hoàn cảnh đặc biệt khó khăn trên địa bàn. Đồng chí Lê Đại Thăng - Phó Bí thư Thường trực Đảng uỷ phường tới dự.

PHƯỜNG SƠN TÂY ĐƯỢC KHEN THƯỞNG TRONG CÔNG TÁC CẢI CÁCH HÀNH CHÍNH NĂM 2025

09:17 03/04/2026

Sáng 31/3, UBND thành phố Hà Nội tổ chức Hội nghị công bố kết quả Chỉ số cải cách hành chính năm 2025, Chỉ số hài lòng của người dân về sự phục vụ hành chính (SIPAS) của các sở, cơ quan tương đương sở và Ủy ban nhân dân các xã, phường.

SƠN TÂY TẬP HUẤN CÔNG TÁC GIÁM SÁT, PHẢN BIỆN XÃ HỘI NĂM 2026

09:17 03/04/2026

Chiều 31/3, tại hội trường Trung tâm Chính trị phường Sơn Tây, Ban Thường trực Ủy ban MTTQ Việt Nam phường Sơn Tây tổ chức hội nghị tập huấn công tác giám sát, phản biện xã hội; tham gia góp ý xây dựng Đảng, xây dựng chính quyền; công tác Thanh tra nhân dân và giám sát đầu tư của cộng đồng cho đội ngũ cán bộ Mặt trận ở cơ sở gồm: Trưởng ban Công tác Mặt trận các tổ dân phố; thành viên Ban Thanh tra nhân dân; thành viên Ban Giám sát đầu tư của cộng đồng và các lực lượng nòng cốt tham gia công tác Mặt trận trên địa bàn phường.

PHƯỜNG SƠN TÂY ĐÓN TIẾP ĐOÀN CÁN BỘ THỦ ĐÔ VIÊNG CHĂN (LÀO) ĐẾN TRAO ĐỔI KINH NGHIỆM

09:17 03/04/2026

Chiều 01/4, Ban Thường vụ Đảng ủy phường Sơn Tây tổ chức hội nghị đón tiếp, trao đổi kinh nghiệm với Đoàn cán bộ Ủy ban Kiểm tra Đảng – Thanh tra Thủ đô Viêng Chăn (nước CHDCND Lào) đến nghiên cứu, khảo sát thực tế tại phường Sơn Tây

Tin cùng chuyên mục
Xem theo ngày
Xem
Tin khác
HỘI CHỮ THẬP ĐỎ PHƯỜNG SƠN TÂY TRAO XE LĂN CHO NGƯỜI KHUYẾT TẬT CÓ HOÀN CẢNH KHÓ KHĂN
HỘI CHỮ THẬP ĐỎ PHƯỜNG SƠN TÂY TRAO XE LĂN CHO NGƯỜI KHUYẾT TẬT CÓ HOÀN CẢNH KHÓ KHĂN
Sáng 3/4, Hội Chữ thập đỏ phường Sơn Tây tổ chức trao tặng xe lăn cho chị Trần Thị Kim Oanh - là người khuyết tật có hoàn cảnh đặc biệt khó khăn trên địa bàn. Đồng chí Lê Đại Thăng - Phó Bí thư Thường trực Đảng uỷ phường tới dự.
14:25 03/04/2026
PHƯỜNG SƠN TÂY ĐƯỢC KHEN THƯỞNG TRONG CÔNG TÁC CẢI CÁCH HÀNH CHÍNH NĂM 2025
PHƯỜNG SƠN TÂY ĐƯỢC KHEN THƯỞNG TRONG CÔNG TÁC CẢI CÁCH HÀNH CHÍNH NĂM 2025
Sáng 31/3, UBND thành phố Hà Nội tổ chức Hội nghị công bố kết quả Chỉ số cải cách hành chính năm 2025, Chỉ số hài lòng của người dân về sự phục vụ hành chính (SIPAS) của các sở, cơ quan tương đương sở và Ủy ban nhân dân các xã, phường.
09:17 03/04/2026
SƠN TÂY TẬP HUẤN CÔNG TÁC GIÁM SÁT, PHẢN BIỆN XÃ HỘI NĂM 2026
SƠN TÂY TẬP HUẤN CÔNG TÁC GIÁM SÁT, PHẢN BIỆN XÃ HỘI NĂM 2026
Chiều 31/3, tại hội trường Trung tâm Chính trị phường Sơn Tây, Ban Thường trực Ủy ban MTTQ Việt Nam phường Sơn Tây tổ chức hội nghị tập huấn công tác giám sát, phản biện xã hội; tham gia góp ý xây dựng Đảng, xây dựng chính quyền; công tác Thanh tra nhân dân và giám sát đầu tư của cộng đồng cho đội ngũ cán bộ Mặt trận ở cơ sở gồm: Trưởng ban Công tác Mặt trận các tổ dân phố; thành viên Ban Thanh tra nhân dân; thành viên Ban Giám sát đầu tư của cộng đồng và các lực lượng nòng cốt tham gia công tác Mặt trận trên địa bàn phường.
09:17 03/04/2026
PHƯỜNG SƠN TÂY ĐÓN TIẾP ĐOÀN CÁN BỘ THỦ ĐÔ VIÊNG CHĂN (LÀO) ĐẾN TRAO ĐỔI KINH NGHIỆM
PHƯỜNG SƠN TÂY ĐÓN TIẾP ĐOÀN CÁN BỘ THỦ ĐÔ VIÊNG CHĂN (LÀO) ĐẾN TRAO ĐỔI KINH NGHIỆM
Chiều 01/4, Ban Thường vụ Đảng ủy phường Sơn Tây tổ chức hội nghị đón tiếp, trao đổi kinh nghiệm với Đoàn cán bộ Ủy ban Kiểm tra Đảng – Thanh tra Thủ đô Viêng Chăn (nước CHDCND Lào) đến nghiên cứu, khảo sát thực tế tại phường Sơn Tây
09:17 03/04/2026
CÔNG BỐ QUYẾT ĐỊNH THÀNH LẬP BAN ĐẠI DIỆN HỘI ĐỒNG QUẢN TRỊ NGÂN HÀNG CHÍNH SÁCH XÃ HỘI PHƯỜNG SƠN TÂY
CÔNG BỐ QUYẾT ĐỊNH THÀNH LẬP BAN ĐẠI DIỆN HỘI ĐỒNG QUẢN TRỊ NGÂN HÀNG CHÍNH SÁCH XÃ HỘI PHƯỜNG SƠN TÂY
Chiều 2/4, Ban đại diện Hội đồng quản trị Ngân hàng chính sách xã hội (NHCSXH) phường Sơn Tây tổ chức phiên họp thứ nhất, công bố Quyết định thành lập Ban đại diện Hội đồng quản trị NHCSXH phường, đánh giá hoạt động tín dụng chính sách quý I, triển khai phương hướng, nhiệm vụ quý II năm 2026. Các đồng chí: Nguyễn Thị Thu Hương – Phó Bí thư Đảng ủy – Chủ tịch UBND; Hà Ngọc Quân - Ủy viên BTV – Phó Chủ tịch UBND phường tới dự.
09:17 03/04/2026
KỲ HỌP THỨ NHẤT HĐND PHƯỜNG SƠN TÂY KHÓA II, NHIỆM KỲ 2026 - 2031 PHƯỜNG SƠN TÂY
KỲ HỌP THỨ NHẤT HĐND PHƯỜNG SƠN TÂY KHÓA II, NHIỆM KỲ 2026 - 2031 PHƯỜNG SƠN TÂY
Sáng 30/3, HĐND phường Sơn Tây khóa II, nhiệm kỳ 2026 - 2031 tổ chức Kỳ họp thứ nhất nhằm xem xét, quyết định các nội dung quan trọng theo luật định, đặc biệt là kiện toàn tổ chức bộ máy chính quyền địa phương sau thành công của cuộc bầu cử đại biểu Quốc hội khóa XVI và đại biểu HĐND các cấp nhiệm kỳ 2026 - 2031.
14:17 30/03/2026
Thanh niên Sơn Tây “Đoàn kết – Tiên phong – Sáng tạo – Phát triển
Thanh niên Sơn Tây “Đoàn kết – Tiên phong – Sáng tạo – Phát triển"
Ngày 29/3, Hội Liên hiệp Thanh niên (LHTN) Việt Nam phường Sơn Tây tổ chức Đại hội Đại biểu lần thứ I, nhiệm kỳ 2026 – 2029. Dự Đại hội có sự tham dự của đại diện lãnh đạo Hội LHTN Việt Nam thành phố Hà Nội; đồng chí Lê Đại Thăng - Phó Bí thư Thường trực Đảng ủy; Nguyễn Thị Thu Hương - Phó Bí thư Đảng ủy - Chủ tịch UBND phường; Lãnh đạo HĐND, UBND, Ủy ban MTTQ Việt Nam; các ban, ngành, đoàn thể và 95 đại biểu tiêu biểu đại diện cho thanh niên trên địa bàn.
11:37 29/03/2026
SƠN TÂY TỔNG KẾT CÔNG TÁC BẦU CỬ VÀ LỄ HỘI ĐỀN VÀ XUÂN BÍNH NGỌ 2026
SƠN TÂY TỔNG KẾT CÔNG TÁC BẦU CỬ VÀ LỄ HỘI ĐỀN VÀ XUÂN BÍNH NGỌ 2026
Chiều 27/3, Đảng ủy – HĐND – UBND – UBMTTQ Việt Nam phường Sơn Tây tổ chức hội nghị tổng kết công tác bầu cử đại biểu Quốc hội khóa XVI và đại biểu Hội đồng nhân dân các cấp nhiệm kỳ 2026–2031; tổng kết công tác tổ chức Lễ hội Đền Và Xuân Bính Ngọ 2026. Các đồng chí lãnh đạo thành phố; lãnh đạo Đảng ủy, HĐND, UBND, Ủy ban MTTQ phường; các thành viên Ban Chỉ đạo, Ủy ban Bầu cử phường; Ban Tổ chức Lễ hội Đền Và; các đơn vị phối hợp cùng đông đảo cán bộ, tổ trưởng dân phố và các tập thể, cá nhân được khen thưởng tới dự.
11:36 29/03/2026
SƠN TÂY: HỘI NGHỊ ĐẠI BIỂU NHÂN DÂN BÀN VỀ XÂY DỰNG ĐỜI SỐNG VĂN HÓA Ở CƠ SỞ NĂM 2026
SƠN TÂY: HỘI NGHỊ ĐẠI BIỂU NHÂN DÂN BÀN VỀ XÂY DỰNG ĐỜI SỐNG VĂN HÓA Ở CƠ SỞ NĂM 2026
Chiều 27/3, UBND phường Sơn Tây phối hợp với Ủy ban MTTQ Việt Nam phường tổ chức Hội nghị đại biểu Nhân dân năm 2026 bàn về xây dựng đời sống văn hóa ở cơ sở. Hội nghị có sự tham dự của các đồng chí lãnh đạo Đảng ủy, HĐND, UBND phường; đại diện Ủy ban MTTQ, các tổ chức chính trị - xã hội và đông đảo đại biểu Nhân dân trên địa bàn.
11:36 29/03/2026
MTTQ PHƯỜNG SƠN TÂY TỔNG KẾT CÔNG TÁC QUÝ I VÀ THAM GIA BẦU CỬ NHIỆM KỲ 2026–2031
MTTQ PHƯỜNG SƠN TÂY TỔNG KẾT CÔNG TÁC QUÝ I VÀ THAM GIA BẦU CỬ NHIỆM KỲ 2026–2031
Sáng 28/3, Ủy ban MTTQ Việt Nam phường Sơn Tây tổ chức hội nghị tổng kết công tác Mặt trận quý I năm 2026 và tổng kết công tác tham gia cuộc bầu cử đại biểu Quốc hội khóa XVI và đại biểu HĐND các cấp nhiệm kỳ 2026–2031. Đồng chí Lê Đại Thăng – Phó Bí thư Thường trực Đảng ủy phường tới dự.
11:36 29/03/2026